<일반화와 일반화성능(MSE)>
머신러닝 알고리즘은 학습과정을 통해 학습데이터에 대하여 오차(학습오차)를 감소시켜나감
우리가 원하는 모델은 도메인에서 주어진 임의의 데이터에 대해 예측 성능이 뛰어난 모델을 원함
즉, 일반화 오차 가 적은 모델을 원하기 때문에, 모델의 일반화 성능(MSE) 평가시
1. 도메인에서 임의로 뽑은
2. 테스트 데이터(학습에 사용되지 않은 데이터) 로 성능을 평가해야함

과적합(overfitting) : 모델이 지나치게 학습 데이터에 맞춰져서 일반화 성능이 오히려 떨어지는 경우
과소적합(underfitting) : 모델이 학습 데이터에 대해 제대로 학습되지 않아 모델의 성능이 떨어지는 경우


test error = training error + generalization gap
generalization gap = test error - training error
* test error : 학습에 사용하지 않고 따로 빼둔 data 를 이용해서 구한 값
1) training error 가 커서 test error 가 큰 경우 = 과소적합 => 모델의 복잡도를 늘려서 개선시켜야
2) generalization gap 이 커서 test error 가 큰 경우 = 과적합 => 모델의 복잡도를 낮춰서 개선시켜야
<과적합 원인과 해결책>
원인
다중회귀분석에서 과적합 : 지나치게 많은 독립변수의 사용
곡선회귀분석에서 과적합 : 지나치게 높은 차원의 사용
해결책
1) 적절한 독립변수 개수(다항차수) 의 선택
2) 정규화
<정규화>
* 초매개변수(λ) : 추정값이 아닌, 학습을 위해 주어진 값.
회귀계수가 발산하지 않는것이 중요할수록 값이 큼
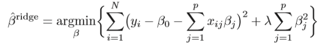
1) Rigde regression(릿지 회귀) :
(오차)^2 을 최소화 + λ ∑(회귀계수)^2

or

λ 가 제약조건 역할을 함(일정 값 이상이 되지 않게 함)
Ridge Regression 회귀계수

λ 클수록 회귀계수값들이 작아지고 안정화됨
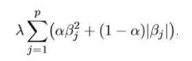
2) Lasso regression(랏쏘 회귀) :
(오차)^2 을 최소화 + λ ∑|회귀계수|

or

Rigde 는 변수선택효과를 갖지 않지만, Lasso 는 가짐

∵ 최소제곱법 식을 좌표평면상에 그래프로 나타내면 타원. Lasso Regression 의 경우 절댓값때문에 마름모꼴의 형태로 제약조건이 나타나므로 최적값이 모서리 부분에서 나타날 확률이 릿지에 비해 높음. 따라서 몇몇 유의미하지 않은 변수들에 대해 계수를 0에 가깝게 추정해주어 변수 선택 효과를 갖게됨
일반화


0<=q<1 : 변수선택 가능
q > 1 : 변수선택 불가능
'School > 머신러닝' 카테고리의 다른 글
| 로지스틱 회귀 (0) | 2022.04.12 |
|---|---|
| 선형분류 (0) | 2022.04.06 |
| 회귀분석에서의 변수선택 (0) | 2022.03.30 |
| 서브셋 (0) | 2022.03.30 |
| 다중회귀모형의 선택 (0) | 2022.03.29 |